Planning Commission deliberates Doyon proposed development
Published 9:30 pm Tuesday, January 9, 2024
Decisions on the proposed development at the former Lighthouse Village remain forthcoming.
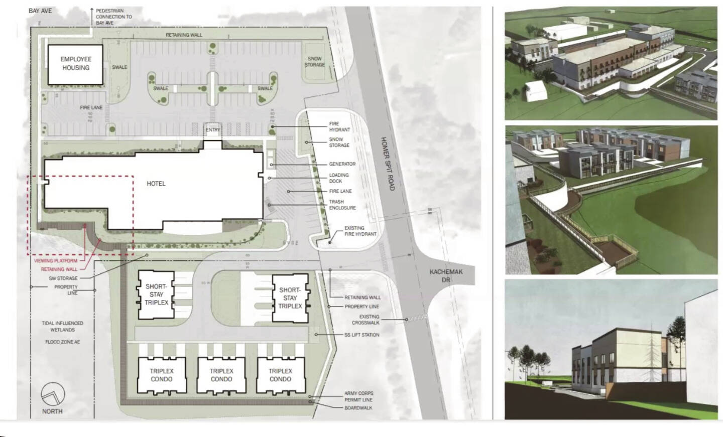
The Lighthouse Village property was purchased in March 2023 by Doyon, Limited, an Alaska Native corporation based in Fairbanks. Doyon has applied for a conditional use permit for a planned unit development to build an 85-room hotel, an employee housing unit and five triplex condos.
At the special Planning Commission meeting held last Wednesday, Jan. 3, after hearing public testimony from nearly two dozen community members as well as rebuttal from Doyon, Limited, the commission moved to hold a separate special meeting for deliberations on conditional use permit 23-08 for the proposed hotel development.
This meeting is part of an adjudicatory process and will be closed to the public.
The Planning Commission has 45 days from the time the public hearing on Staff Report 23-060, concerning the CUP, ended at the Jan. 3 meeting to decide whether to approve or deny the CUP.
The commission also voted 4-3 to adopt Staff Report 23-061, regarding Doyon’s application to rezone the 1.35-acre lot at 1491 Bay Avenue from rural residential to General Commercial 1. Commission chair Scott Smith and commissioners David Schneider, Brad Conley and Mike Stark voted in favor of the motion to adopt. Vice chair Charles Barnwell and commissioners Roberta Highland and Franco Venuti voted against the motion.
Rezoning authority does not lie with the Planning Commission, but with the Homer City Council. Based on their vote, the commission will recommend that the council approve the rezoning of 1491 Bay Avenue to GC1.
City planner Ryan Foster reiterated during discussion on Staff Report 23-061 that “the rezoning of this property, as the planned unit development stands, is a definitive requirement.”
On the other hand, the motion to adopt Staff Report 23-062, vacating the B Street right of way south of Bay Avenue, failed 5-2. Chair Smith and commissioner stark voted in favor of the motion; commissioners Highland, Conley, Barnwell, Venuti and Schneider voted against it.
As with the rezone, the authority to vacate rights of way lies with the city council. Based on this outcome, the commission will recommend that the council not approve vacating the B Street right of way.
Staff Report 23-066 regarding the re-plat of the Bayview Subdivision Lighthouse Village was continued to the next Planning Commission regular meeting on Jan. 17.
Public hearings
The commission held several public hearings, continued from the Dec. 6 meeting, on each of the interrelated staff reports regarding Doyon’s CUP application.
General public opinion on the proposed Lighthouse Village development remained much the same as what was expressed at the December meeting. City residents testified either in person or by Zoom to share their concerns about the development’s size, the impact on already-congested traffic on Ocean Drive heading toward the Homer Spit, and impacts on both the existing Bay Avenue neighborhood west of the project site and the critical habitat area at the Mariner Park Lagoon that borders the site to the south.
A letter signed by more than 200 Homer area residents, which was submitted among the written comments to the commission, expressed those residents’ concerns “about a wide array of issues” related to the development and asked the commission to not recommend approval of the CUP or the associated rezone, replat or right of way vacation.
“As the Homer Comprehensive Plan makes abundantly clear, as Homer grows, it is essential that we guide growth to allow simultaneously for business development and the preservation of the essential environmental, cultural, and historical elements that make Homer an attractive place to live and visit. CUP 23-08 does not meet that standard,” the letter states.
The letter specifically states several concerns including the proposed height of the hotel — “almost double” the 35-feet height restriction designated for GC1-zoned lots.
“These limitations are in code and supported by the Comprehensive Plan, and this is not the place to ignore these rules,” the letter reads. “Height limits are not just about the FAA, as implied by staff, they are also about the viewshed, and this is an area where the viewshed is very important to local residents, visitors, and to the tourism industry–all these folks stand to lose quite a bit by waiving these restrictions.”
The letter also protests against the size and density of the development’s overall footprint.
Multiple community members continued to express their unwillingness for the B Street right of way to be vacated. The right of way is an important nonmotorized public access route to the lagoon for both Bay Avenue residents and other Homer residents, whether they use it for walking, biking or birding.
Penelope Haas, author of the 200-signature letter and representing all those who signed, testified to the commission during the public hearings.
“I ask you to deny the CUP and all its associated parts. Vacating the right of way on B Street would end any certainty or clarity that people could actually view birds at this historic location,” she said. “Whatever Doyan might say, it means nothing that a right of way means. A right of way means a right of way, and we should maintain that. This is a unique place. It’s a sensitive habitat, and it’s iconic and we should be very careful about what we do there.”
Some individuals expressed a somewhat different opinion on the proposed development.
Eric Engebretsen, owner of Bay Weld Boats, said he understood and identified with a lot of the public’s comments and concerns about the Doyon project, but he’s also concerned about Homer sending the message that it’s “reluctant to have business opportunities and development come here.”
“It strikes me that we have a world-renowned investor wanting to come to our community and do something pretty significant, and I’m concerned about the message that goes out if we just say no,” he said to the commission. “I hope that there would be a way that that something could be done here responsibly and respectably for our community that addresses the concerns and leaves the door open for development done right, because I think that’s good for the community over the long haul.”
Karin Marks, chair of the Economic Development Advisory Commission, said that it was “important to note” that there are other points of view in the Homer community.
“I think there really are merits to this development from a corporation who has Alaskan roots and interest in doing things to maintain the environment,” she said during the public hearing on the CUP application. “This plan is not perfect, and there is need for work, but I would like to think that we can work with this corporation to make it the best possible and not just say ‘Nothing is going to happen.’”
Traffic analysis
After the conclusion of each public hearing, city staff and Doyon were given opportunities for rebuttal.
Following the hearing for the CUP, Foster turned the floor over to Randy Kinney, founder of Kinney Engineering, LLC, the firm that conducted the traffic impact analysis for the project.
In response to several community members’ concerns that the traffic study was done in September, rather than Homer’s peak tourism season, Kinney explained that they took the vehicle counts and “factored” them from September conditions to traffic conditions on Homer Spit Road in the middle of July.
Kinney said that they gathered counts at the two intersections that were “primarily identified as intersections of transfer,” these being the intersection between FAA Road and Ocean Drive becoming Homer Spit Road, and the intersection at Kachemak Drive and Homer Spit Road.
“We used the continuous count station on Homer Spit Road that collects data continuously, and we’re able to take a look at an average day in July and compare it to an average day in September,” he said. “Based on that data, the July traffic out there is about twice the traffic that occurs in September. So all those counts that we collected for the baseline condition, we inflated by a factor of two, so we could convert those September counts into a design condition in summer, and that served as our baseline.”
From there, investigators conducting the study were able to apply analysis techniques from the Highway Capacity Manual, which is a publication of the Transportation Research Board and provides national standards.
Kinney said that the approaches that would incur the most delay are located at the stop sign-controlled intersections at FAA Road and at Kachemak Drive. With the site traffic from the Doyon project included, the worst delay was found to occur on conditions set for a Saturday.
“With the site traffic, there’s only about two seconds (delay) more on the average,” Kinney said. “So we’re talking about going from 20-25 seconds to 22-27 seconds, so it only increases delay by a couple of seconds per vehicle.”
Kinney also pointed out that the primary performance measure for stop sign-controlled intersections is average delay per vehicle.
“The acceptable threshold from the state standards and the Homer city code standards is that once you exceed … about 25 seconds of average delay per vehicle, that is subject to some sort of mitigation,” he said. “The 90 or so trips from this facility … on this system doesn’t create a lot of vehicular delay, and with one minor exception, it didn’t require any mitigation, according to state or city of Homer standards or the vehicle traffic.”
Rebuttal from the city planner
Foster also offered comments in response to testimonies shared in the public hearings.
He reiterated that the traffic impact analysis specifically looks at the impacts that the Doyon project would have on the community, as well as recommendations to mitigate any of those impacts.
“The recommendations from the traffic impact analysis are included as draft conditions in the staff report for the commission,” he said. “Most of the improvements are focused on pedestrian improvements.”
Foster also brought up Homer Volunteer Fire Department Chief Mark Kirko’s comments on the project, which were not available at the Dec. 6 meeting. According to a Dec. 22 memo from Kirko to the commission, he found no concerns for fire and life safety response to the Lighthouse Village development property or structures per the preliminary project plans.
In response to multiple comments that the Lighthouse Village development as currently planned features multiple aspects that do not comply with city code, such as the height of the hotel, Foster reiterated that the CUP is for a planned unit development, which “is designed to have this flexibility, in a very significant way.”
According to Homer city code chapter 21.52.010, “Scope and purpose,” a planned unit development, or PUD “is a device that allows a development to be planned and built as a unit, or as phased units, and permits flexibility and variation in many of the traditional controls related to density, land use, setback, open space and other design elements, and the timing and sequencing of the construction. A PUD may be applicable to either residential, commercial, noncommercial or industrial uses or a combination thereof.”
“Now, not to say, the 35 feet (height) — if an application for a conditional use permit comes through that isn’t a planned unit development, that 35 feet is a pretty hard 35 feet,” Foster said. “But the planned unit development is sort of the deciding factor, if you will, for that flexibility.”
Mayor Ken Castner also said that in the past, denial of a planned unit development came down to consultation from the fire chief.
“Deciding factors usually come down to the fire chief examining and making sure there’s turnaround area and things like that,” he said. “So denial of a planned unit development in the past has come down to the fire chief’s analysis, and part of that was that we didn’t have the apparatus to fight a fire over 35 feet. Now we have a ladder truck, and that’s changed.”
For other specific factors, such as the hotel exceeding the maximum dimensional requirements for structures and uses in the GC1 district, as outlined in city code chapter 21.24.040, Foster clarified that those requirements is for retail and wholesale uses.
“That is not applicable to hotel residential,” he said. “That is what would typically be referred to as a big box ordinance. That’s not applicable for this project.”
Commissioner Highland asked whether the Planning Commission has any say on the project if the PUD allows so much flexibility. Foster said that wasn’t the case.
“What’s being proposed in the planned unit development, including building height or any of the other features, is under consideration for the commission to discuss,” he said.
Response from Doyon
In response to public testimony from Dec. 6, Doyon did submit a revision to their site plan, dated Jan. 3, that includes a viewing platform to replace the one torn down last year.
“I could recommend that the commission could consider adding (this) as a condition of approval as it’s being provided in the site plan for the planned unit development at this stage,” Foster told the commission.
Doyon also addressed in their revised site plan one of the many existing recommended conditions of approval from the traffic impact analysis by extending the pedestrian connection, starting at Bay Avenue, all the way through the property along the viewing platform and accompanying boardwalk, so that it connects to the existing crosswalk just south of Kachemak Drive, and thus to the Homer Spit Trail.
Commissioner Venuti asked Doyon’s representatives present at the meeting if, in response to the concerns from many community members, if Doyon was willing to “bend” on the proposed site plan.
“It would be much more appealing to many in the community if this was scaled down substantially,” he said. “Can you start small, and build big?”
“We will respond however this commission wants us to respond,” said Doyon vice president Patrick Duke. “If you come back to us and say, ‘We will not grant you this footprint today,’ we’re obviously going to go back and we’re going to sharpen our pencils and figure out what does work. But until we get to that point, I think this is the plan that we’re putting forward to you, and our application stands as we’re presenting to you today.”
Suggestions from Public Works
At the Dec. 6 meeting, now-former Public Works director Jan Keiser stated she planned to research multiple questions raised during the first public hearing that presented concerns for the Doyon project. She submitted her responses and recommendations in a Dec. 27 memo to the Planning Commission, also available on page 86 of the agenda packet for Jan. 3.
Responding to the question of whether Homer’s sewer and water system can handle the extra flow generated by the Lighthouse Village development, Keiser said yes, it can.
“The incremental increase in sewage flow from the proposed development will not adversely affect system capacity,” she wrote in the memo. “The City’s water system has sufficient capacity to handle the incremental flows the proposed development will require.”
That being said, Keiser wrote, the development at its proposed size will use a lot of water, and the restaurant will generate fats, oil and grease which can clog sewer lines. She recommended that the Planning Commission require the developer to respectively employ low-flow bathroom fixtures and water-conservation protocols and install and properly maintain a grease separator device to reduce the risk of sewage clogs as conditions for the planned unit development.
Keiser also recommended in the memo that the commission require Doyon reestablish a viewing platform for public use “that is substantially similar to the viewing platform that was demolished without notice to the Alaska Maritime National Wildlife Refuge in violation of the Land Use Agreement.”
In conversations with AMNWR employees, Keiser learned that the original viewing platform was built with public grant funds and installed as part of a cooperative agreement, put into writing in 2020, between the former property owner and AMNWR. According to the memo, the agreement provided for a five-year term with an automatic renewal of an additional five years. The agreement allowed for termination upon giving 60 days notice.
“The Refuge personnel I talked to were given no notice that the structure was being demolished,” Keiser wrote.
A copy of the agreement is attached to her memo, on page 90 of the Jan. 3 agenda packet.
During rebuttal, Duke refuted community members’ claims that Doyon violated any agreements by demolishing the platform.
“That agreement existed with the former owner of the property and didn’t include us. We did not break the law by tearing down that platform. It was a safety issue for us,” he said.
In response to concerns about dangerous chemicals found in the soils analysis, Keiser wrote that the geotechnical data report found “various volatile organics” at concentrations less than the “most stringent” cleanup levels outlined by the Alaska Department of Environmental Conservation.
“While the levels do not trigger requirements for cleanup, mass excavation to prepare for a poured-in-place foundation of footings and slabs will expose the volatile organics. The substances could then be disbursed by rain or ground water into the tidal flats where birds habitually feed and nest. Pile foundations would cause less disturbance and reduce the risk of spreading contamination,” Keiser wrote.
She also recommended that the commission require Doyon to avoid mass excavation in areas where the volatile organics were found and guard against dispersal of such materials into the tidal flats through Best Practice SWPPP measures.
Responding to public concern about Doyon’s lack of a biologist on the project development team, Keiser suggested that Doyon be required to commission a qualified wildlife biologist to review the development’s probable impacts on wildlife and identify steps for mitigating adverse impacts.
“At minimum, the portions of the subject parcels that are part of the tidal marsh should be designated for conservation to ensure they will not be subject to future development,” she wrote.
Doyon did state that after the Dec. 6 meeting, they worked with Fairweather Science, LLC, which provides specialized planning and environmental support services, to develop a plan for remediation during construction. Fairweather Science, LLC is part of the Doyon, Limited “family of companies,” according to their website.
Keiser noted in her memo that multiple comments were made at the Dec. 6 meeting about the buffer between the west side of Doyon’s property and the adjacent residential neighborhood. Doyon currently proposes to leave a 10-foot buffer of natural vegetation and install a 6-foot fence.
“This will not provide for adequate privacy. It would be better to leave a larger vegetative buffer,” Keiser wrote to the commission.
She recommended that the commission require Doyon to leave at least a 20-foot buffer of existing trees at the west property line to provide the residential neighborhood adequate privacy.
The full recording of the Jan. 3 special meeting is available online at www.cityofhomer-ak.gov/hapc/planning-commission-special-meeting-5.
The next Planning Commission regular meeting will take place on Wednesday, Jan. 17 at 6:30 p.m. in the Homer City Hall Cowles Council Chambers.
